By Elin Sivertsson, Scientist
Claire Shepherd, Global Product Manager Biacore Consumables

概要

Biacore™表面プラズモン共鳴(SPR)システム、Biacore™ cap-tag capture kit、およびBiacore regeneration kit CAPを使用して、ナノボディとその標的タンパク質との結合を迅速に特性評価する方法を説明します。実験をはじめるにあたってこれらの分子間相互作用における事前情報は必要ありません。

はじめに

重症急性呼吸器症候群コロナウイルス2(SARS-CoV-2)は、呼吸器疾患であるcoronavirus disease 2019(COVID-19)を引き起こします。宿主細胞への侵入の際 、SARS-CoV-2スパイクタンパク質の受容体結合ドメイン(RBD)が宿主細胞表面のアンジオテンシン変換酵素2(ACE2)に結合します(1)。

ナノボディ、またはVHH単一ドメイン抗体は、ラクダ科動物に見られる重鎖のみの抗体から派生したものです。研究、診断、および治療用途での使用の可能性から、研究者の間でますます関心を集めています。その利点として 、低分子、高い化学的および熱的安定性、そして生産の容易さが挙げられます (2)。

市販のRBDに結合するナノボディ(ここでは抗RBDナノボディと呼びます)の結合カイネティクスを決定することを目指しました。この相互作用を特性評価するために、Biacore™ cap-tag capture kit 使用しました。このアプローチには複数の利点があります:

  • タグに依存しない簡単なタンパク質キャプチャ。
  • キャプチャや再生条件の条件検討が不要。
  • センサーチップが再利用可能でコスト効果が高い。

アミンカップリングを使用したアッセイの開発は困難なケースがあります。効果的にリガンドをプレコンセントレーションするための適切なカップリング溶液を見つけるpHスカウティングや、リガンドにダメージを与えずアナライトを除去する溶液を見つけるための再生スカウティングなどのステップは、満足のいく条件が見つかるまで何度も繰り返す必要があるかもしれません(図1)。これにより、機器に費やす時間と材料のコストが増加する可能性があります。また、複数のセンサー チップを使用して廃棄する場合があります。さらに、一部のリガンドは不安定であり、アミンカップリング中に使用される低pHや再生溶液への繰り返しの曝露に耐えられない場合があります。

Biacore cap-tag capture kitを使用すると、タンパク質に短いオリゴヌクレオチドタグを最初に結合させ、その後センサー チップ上の相補的なオリゴに結合させることにより、目的のタンパク質を Series S Sensor Chip CAPにキャプチャさせることができます。生成されたリガンドコンジュゲートは、 Biacoreシステムでタンパク質相互作用解析を行う際、可逆的にキャプチャできます。 各分析サイクル後の表面の再生により、リガンドコンジュゲートおよび結合したアナライトが除去されます。そして、新しいリガンドコンジュゲートが各サイクルの表面に結合されます。センサー チップは、フローセルごとに少なくとも150回再利用できます(図1)。


Kinetic characterization using Biacore cap-tag capture kit

図1. アミンカップリングベースのアッセイと Biacore™ cap-tag capture kitを使用したアッセイのワークフロー。

* 同じ表面で複数のサイクルを実行できます。ただし、フローセルは異なるリガンドで再利用することはできません。

結果と考察

リガンドコンジュゲートの準備

Biacore™ cap-tag capture kitの使用説明書(IFU)に従ってRBDリガンドコンジュゲートを準備しました。詳細については、材料と方法を参照してください。Biacore™ cap-tag コンジュゲーションにより、使用されるリガンドタンパク質の元の分子量に追加で7 kDaが追加されることに注意してください。したがって、RBDリガンドコンジュゲートの分子量は 25 kDa + 7 kDa = 32 kDa.

キャプチャレベルスカウティング

カイネティクスアッセイでRmaxが約5〜10 RUになることを目指しました。各RBD分子は1つの抗RBDナノボディ分子を結合できます。抗RBDナノボディの分子量は約15 kDaです。材料と方法の式(1)を使用しました:


Math Formula R RBD   ligand   conjugate = 10   RU 1 × 32   kDa 15   kDa 21   RU

RBDリガンドコンジュゲートを21 RUのキャプチャレベルに到達するまでどの程度希釈する必要があるかを確立するために、さまざまな希釈係数でキャプチャレベルスカウティングを実施しました。キャプチャレベルスカウティングのセンサーグラムは図2に示されています。キャプチャレベルと希釈係数の関係をプロットし、キャプチャレベルが約20 RUに到達するためには、RBDリガンドコンジュゲートを3000倍に希釈する必要があることがわかりました(図3)。キャプチャレベルと希釈係数の関係をより簡単に視覚化するために、プロットに対数軸を使用することが役立ちました。

We describe how we used Biacore surface plasmon resonance (SPR) and Biacore cap-tag capture kit and Biacore regeneration kit CAP to rapidly characterize the binding of a nanobody to its protein target, without any prior knowledge of their interaction kinetics.

図2. キャプチャレベルスカウティングセンサーグラム。RBDリガンドコンジュゲートの希釈シリーズをSeries S Sensor Chip CAPにインジェクションしました。キャプチャベースラインとキャプチャレベルのレポートポイントは黒で示されています。

(A)Biacore cap-tag conjugation efficiency 1

(B)Biacore cap-tag conjugation efficiency 2

図3. RBDリガンドコンジュゲートのキャプチャレベルと希釈係数の関係をプロットします。線形軸上の(A)プロット。対数軸上の(B)プロット。

Biacore Single-Cycle Kinetics (SCK)™ analysis

初回テストラン

次に、RBDと抗RBDナノボディ間の結合を特性評価するために Single-Cycle Kinetics (SCK) による測定と解析を実施しました。RBDと抗RBDナノボディ間の相互作用の親和性やカイネティクスについて事前情報がなかったため、提供された測定メソッドをデフォルト設定のまま使用しました( 材料と方法を参照)。このデフォルト設定は広範なアナライト濃度範囲をカバーしており、カイネティクスおよび親和性の最初の指標(または最良の場合、決定)を提供するために使用できます。キャプチャレベルスカウティングの結果に基づいて、RBDリガンドコンジュゲートを3000倍に希釈しました。

図4は、Biacore Insight evaluation softwareで解析された初回の結果を示しています。以下を確認しました:

  • RBDリガンドコンジュゲートの希釈係数は適切です。アナライトの最大結合レスポンスは約10 RUであり、これは私たちが期待した通りです。キャプチャレベルは、ブランクサイクルとサンプルサイクルでそれぞれ23.2 RUおよび23.5 RUでした。
  • 抗RBDナノボディの濃度が高すぎます。結合はすでに3回目のインジェクション(60 nM抗RBDナノボディ)後に飽和しています。4回目と5回目のインジェクションから有用なデータは得られませんでした。
  • 解離時間が短すぎます。RBDリガンドコンジュゲートからの抗RBDナノボディの解離速度は非常に遅いです。10分間の解離フェーズ中にほとんどシグナルが減少しません。解離速度定数の信頼性のある評価には、解離の開始から約10%以上レスポンスが低下する解離時間が推奨されます。

Kinetic characterization using Biacore™cap-tag capture kit

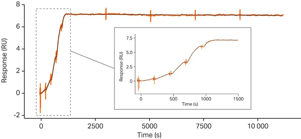
図4.初回SCKランのセンサーグラム(リファレンス差し引きおよびブランク差し引き後、オレンジ)、1:1結合モデル(黒)でフィッティング。RBDリガンドコンジュゲートが Series S Sensor Chip CAP にキャプチャされ、抗RBDナノボディの濃度シリーズがインジェクションされました。バーは、各濃度の抗RBDナノボディがインジェクションされた期間を示しています。

ここで使用されたデフォルトの設定値はこの相互作用に最適ではありませんが、データに1:1結合モデルを適合させることで相互作用カイネティクスの指標を得ることができます。適合したパラメータは ka = 6.92 x 105 M-1s-1 and kd = 3.35 x 10-7 s-1です。

シミュレーション

初回のSCKランから推定されたカイネティクス情報をBiacore Simul8に入力しました(図5)。次に、シミュレーションでアナライトの濃度をテストしました。初回のランから、アナライト60 nMを超えると高すぎることが分かっていました(図4の4回目と5回目のインジェクションを参照)。シミュレーションでは、最高濃度30 nMと希釈係数3(つまり、0.37, 1.11, 3.33, 10, 30 nM)の5回のインジェクションが良好な結果をもたらしました。最初のインジェクションは測定可能な小さなレスポンスで、最後のインジェクションは飽和に近づきます。

シミュレーションでは、コンタクト120秒から180秒に増やし、高濃度帯のインジェクションで丸み帯びた形状が確認できました。また、遅いオフレートを決定するためには解離時間を延長したほうがよさそうです。

Biacore simul8 screenshot of a SCK run.

図5.初回のランから推定されたカイネティクスBiacore Simul8でのSCKセンサーグラムのシミュレーションのスクリーンショット。

最適化されたSCKラン

次に、シミュレーションからの濃度範囲とコンタクト時間を用いて適切な測定条件を設定しました。解離時間を最大値(10,000秒)に増やしました。また、ランの開始時に3回のSCKブランクサイクルを含めました。これは、解離が遅いサンプルを扱う場合に特に重要なシステムの安定化に役立ちます。SCKサンプルサイクルを3回繰り返し、ブランクサイクルを挟んで実行しました(詳細は材料と方法を参照)。

図6と表1は、最適化された本測定の解析結果を示しています。

(A)Results for kinetic characterization using Biacore™cap-tag capture kit 1

(B)Results for kinetic characterization using Biacore™cap-tag capture kit 2

(C)Results for kinetic characterization using Biacore™cap-tag capture kit 3

図6.最適化されたSCKランの結果。(A):センサーグラム(リファレンスとブランクを差し引いたもの、オレンジ)を1:1 binding モデルでフィットしたフィッティングカーブ(黒)。破線枠内ははじめの1500秒を示しています。(B):センサーグラムとフィッティングカーブの残差プロット。(C): Biacore™ Insight evaluation software のQuality Controlタブのスクリーンショット。


表1.最適化SCKランのフィッティング結果と各解析パラメータ。

ka (1/Ms)

T(ka)

kd (1/s)

T(kd)

Kd (M)

Rmax (RU)

tc

U-value

Kinetics Chi2 (RU)

7.06 x 105

3.33 x 103

1.43 x 10-6

2.08 x 102

2.03 x 10-12

7.2

1.43 x 1010

7

2.07 x 10-3

以下、ポイントです:

  • 抗RBDナノボディの濃度範囲は適切です。初回のランに基づくシミュレーションと同様に、最初のインジェクションは測定可能なレスポンスを、次の測定のインジェクションは十分に丸み帯びて、インジェクションは飽和に近づきます(図6、上部パネル)。
  • 1:1モデルはこの相互作用に適しています。残差(図6、中間パネル)はゼロに近く、全体的に残差がほぼゼロで、良好なフィッティングであること。フィッティング結果は ka = 7.06 x 105 M-1s-1 and kd = 1.43 x 10-6 s-1です。詳細なフィッティング結果は表1を参照してください。
  • センサーチップ上のリガンドコンジュゲートの活性は約80%です。RBDリガンドコンジュゲートのキャプチャレベルは19.1 RUであり、これから理論的なRmax を9.0 RUと計算できます(材料と方法の式(1)を参照)。フィッティング結果のは7.2 RUであり、理論値の約80%です。
  • 解離は非常に遅く、kdを確実に決定することは困難です。Biacore™ Insight Evaluation SoftwareのQuality Controlパネルのオレンジ色のシンボルは、解離速度定数 kd が機器で測定可能な限界に近づいていることを警告しています。

以下の2点について詳しく説明します。

Rmax

観測されたRmax値が理論値より低い理由はいくつか考えられます:

  • 理論的Rmaxの計算式はセンサーチップ上のリガンドが100%活性であることを前提としています。実際には、生物学的サンプルの活性は通常100%未満です。これは、Biacore™ cap-tag capture kitを使用したキャプチャに限らず、リガンドの固定化(キャプチャ)全般に適用されます。
  • 最終精製後に一定量の非コンジュゲートCap-tagが残る場合があります。非コンジュゲートcap-tagはSeries S Sensor Chip CAPの結合部位の一部を占有し、キャプチャ応答レベルに寄与しますが、アナライトの結合応答レベルには寄与しません。これにより、観測されたRmaxが理論的なRmaxよりも低くなります。

遅い解離

一般的に、解離の開始から約10%以上レスポンスが低下することが望ましいです。ここではシステムで許可される最大解離時間(10,000秒)を使用しました。10%の応答低下は達成されませんでしたが、Biacore 1K+ SPRシステムを使用した による相互作用の解離速度定数を測定することは可能です。kdが10-6 s-1の相互作用は約29時間で10%のレスポンス低下を意味します(3)。非常に遅い解離は、SPR 'chaser assay'を使用した評価事例も知られています(4)。

試薬消費量とラン時間

Biacore™ cap-tag capture kitを使用すると、同じキットを使用して複数のタンパク質を分析できます。Series S Sensor Chip CAPは各フローセルで少なくとも150回再利用できます。Biacore 1K+システムでは、ここで提示されたセットアップを使用して450サイクルを実行できます(3つのフローセルペア)。通常、リガンドコンジュゲートの収率は高く、カイネティクス解析において50 µLのRBDリガンドコンジュゲートを3000倍に希釈すると、この実験で使用されたセットアップで3400サイクル以上を実行できます。また、Biacore regeneration kit CAPの1ユニットで提供される再生溶液から425サイクル以上を実行することも可能です。したがって、ここで説明したアッセイセットアップは、RBDに対するナノボディライブラリのカイネティクスSeries S Sensor Chip CAPを保存して複数のプロジェクトに再利用することで消耗品のコストを削減できます。

キャプチャレベルスカウティングを実行するラン時間は2時間6分、初回のSCKランを実行するラン時間は2時間19分でした。フィッティングされたkaは初回のランと最適化されたランで同等でしたが、kdは4倍大きくなりました。これは依然として機器が測定できる限界に近く、ここには大きな不確実性があります。

結論

  • Biacore 1K+ SPRシステムでCap-tagアプローチを使用して、ナノボディ(抗RBDナノボディ)の標的タンパク質(RBD)への結合のカイネティクスを評価しました。
  • アッセイ系の最適化において、複数枚のチップと数日の討機器占有時間を削減できました。
  • 初回の測定でカイネティクス結果を概算するために使用した機器の占有時間は5時間未満でした。
  • 相互作用は非常に高い親和性を持ち、非常に遅い解離を示しました。
  • 今回のアッセイセットアップでは、450サイクル(各フローセルで150サイクル)、425サイクルの再生、3400サイクルのリガンドキャプチャ分のセンサーチップ再利用が可能でした。これは、単一ニードルシステムで1つのセンサーチップを使用して約400サンプルの yes/no binding または、200サンプルのカイネティクス測定をすることに相当し、費用対効果の高い選択肢となります。
  • Cui W, Duan Y, Gao Y, Wang W, Yang H. Structural review of SARS-CoV-2 antiviral targets. Structure. 2024;32(9):1301-1321. doi: 10.1016/j.str.2024.08.005
  • Alexander E, Leong KW. Discovery of nanobodies: a comprehensive review of their applications and potential over the past five years. J Nanobiotechnology. 2024;22(1):661. doi: 10.1186/s12951-024-02900-y
  • Application guide: Kinetics and affinity measurements with Biacore systems. Cytiva, CY12854-21Jan21-HB; 2021.
  • Quinn JG, Pitts KE, Steffek M, Mulvihill MM. Determination of Affinity and Residence Time of Potent Drug-Target Complexes by Label-free Biosensing. J. Med. Chem. 2018; 61(12):5154-5161. doi: 10.1021/acs.jmedchem.7b01829.

Conjugation of RBD

Preparations of conjugation working solutions

Biacore conjugation buffer, Biacore ligand activator and Biacore cap-tag is provided in Biacore cap-tag conjugation kit. We prepared 1 x Biacore conjugation buffer by dilution of the 5 x concentrated stock. We dissolved Biacore ligand activator and Biacore cap-tag according to the instructions for use of Biacore cap-tag capture kit.

Dilution and buffer exchange of RBD

We diluted RBD (prepared in house, MW 25 kDa, stock concentration 2.5 mg/mL) to 1 mg/mL in 1 x Biacore conjugation buffer. We buffer exchanged the diluted RBD on an Amersham™ MicroSpin™ G-50 column (pre-washed four times in 1 x Biacore conjugation buffer, according to Biacore cap-tag capture kit instruction for use).

Activation of RBD

Inline Formula

The instruction for use document states that V Activator (μL) = 64.7 MW ligand ( kDa )

We therefore added 64.7/25=2.59 µL of Biacore ligand activator directly to the desalted RBD eluate, before mixing well and incubating for one hour at 25 °C (protected from light). Immediately after the incubation, 50 µL of the reaction mixture was purified on an Amersham MicroSpin G-50 column (pre-washed four times in 1 x Biacore conjugation buffer).

Conjugation of Biacore cap-tag to activated RBD

Inline Formula with Subscript

The instruction for use document states that V Cap tag (μL) = 95.2 MW ligand ( kDa )

We therefore added 95.2/25=3.81 µL of Biacore cap-tag directly to the purified activated RBD, before mixing well and incubating for one hour at 25 °C. Immediately after the incubation, 50 µL of the reaction mixture was purified on a Amersham MicroSpin G-50 column (pre-washed four times in 1 x Biacore conjugation buffer). The eluted ligand conjugate was stored at -20 °C for later analysis.

Biacore interaction analysis

General preparations

We used a Biacore 1K+ SPR instrument. We docked a Biacore Series S Sensor Chip CAP and allowed it to rehydrate by leaving it on standby in HEPES buffered saline containing EDTA and polysorbate (HBS-EP+) overnight.

We prepared regeneration solution from Regeneration stock 1 and 2 provided in Biacore regeneration kit CAP.

Capture level scouting

We calculated a suitable capture level using the following formula:

Centered Equation
R ligand  conjugate = R max n × MW ligand  conjugate MW analyte (1)

Term

Meaning

Rligand conjugate

Ligand conjugate capture level (RU)

Rmax

Theoretical maximum analyte binding capacity (RU)

MW

Molecular weight

N

Interaction stoichiometry (analyte/ligand)

We prepared a serial dilution of the RBD ligand conjugate in HBS-EP+ (two-fold dilutions, ranging from 40 times dilution to 5120 times dilution). We performed capture level scouting using the predefined Biacore Insight control software run method. We have listed the run parameters in Table 2. We used an analysis temperature of 25°C.

Table 2. Run parameters for capture level scouting.

Cycle

Purpose

Command

Solution

Concentration

Contact time

Flow rate

Flow cell

1

Conditioning

Regeneration

Regeneration solution

N/A

Three 60 s pulses

10 µL/min

3 and 4

Wash

HBS-EP+

N/A

N/A

N/A

N/A

2

Startup

Capture

RBD ligand conjugate

5120 times diluted

300 s

2 µL/min

4

Wash

HBS-EP+

N/A

N/A

N/A

N/A

Regeneration

Regeneration solution

N/A

120 s

10 µL/min

3 and 4

Wash

HBS-EP+

N/A

N/A

N/A

N/A

3-10

Analysis

Capture

RBD ligand conjugate

5120 to 40 times diluted*

300 s

2 µL/min

4

Wash

HBS-EP+

N/A

N/A

N/A

N/A

Regeneration

Regeneration solution

N/A

120 s

10 µL/min

3 and 4

Wash

HBS-EP+

N/A

N/A

N/A

N/A

*Different concentrations in each cycle, from low to high.

Biacore Single-Cycle Kinetics (SCK) analysis

We diluted the RBD ligand conjugate 3000 times (as established in the capture level scouting) in HBS-EP+. We prepared five concentrations of SARS-CoV-2 Spike RBD Llamabody VHH His-tag Antibody (R&D Systems, here called anti-RBD nanobody) in HBS-EP+. We have listed the run parameters of the initial SCK run in Table 3. We used an analysis temperature of 25 °C.

Table 3. Run parameter for Biacore Single-Cycle Kinetics (SCK) analysis.

Cycle

Purpose

Command

Solution

Concentration

Contact time

Dissociation time

Flow rate

Flow cell

1

Conditioning

Regeneration

Regeneration solution

N/A

Three 60 s pulses

N/A

10 µL/min

3 and 4

Wash

HBS-EP+

N/A

N/A

N/A

N/A

N/A

2-4

Startup

Capture

RBD ligand conjugate

3000 times diluted

300 s

N/A

2 µL/min

4

Wash

HBS-EP+

N/A

N/A

N/A

N/A

N/A

Analyte (High performance)

HBS-EP+

N/A

120 s

60 s

30 µL/min

3 and 4

Regeneration

Regeneration solution

N/A

120 s

N/A

10 µL/min

3 and 4

Wash

HBS-EP+

N/A

N/A

N/A

N/A

N/A

5

Analysis (blank)

Capture

RBD ligand conjugate

3000 times diluted

300 s

N/A

2 µL/min

4

Wash

HBS-EP+

N/A

N/A

N/A

N/A

N/A

Single cycle kinetics

Anti-RBD nanobody

0 nM

120 s

600 s

30 µL/min

3 and 4

Regeneration

Regeneration solution

N/A

120 s

N/A

10 µL/min

3 and 4

Wash

HBS-EP+

N/A

N/A

N/A

N/A

N/A

6

Analysis (sample)

Capture

RBD ligand conjugate

3000 times diluted

300 s

N/A

2 µL/min

4

Wash

HBS-EP+

N/A

N/A

N/A

N/A

N/A

Single cycle kinetics

Anti-RBD nanobody

2.4, 12, 60, 300, 1500 nM

120 s

600 s

30 µL/min

3 and 4

Regeneration

Regeneration solution

N/A

120 s

N/A

10 µL/min

3 and 4

Wash

HBS-EP+

N/A

N/A

N/A

N/A

N/A

In the refined run, we increased the SCK contact time to 180 s and the SCK dissociation time to 10 000 s. We also reduced the SCK analyte concentration (0.37, 1.11, 3.33, 10, 30 nM). We included additional analysis cycles so that the run had a total of eight SCK cycles in the following order: 3 blank cycles, 1 sample cycle, 1 blank cycle, 2 sample cycles, 1 blank cycle.



1つのキャプチャアプローチで新しい地平を探る
Biacore cap-tag capture kitについては当社のウェブサイトで詳細をご覧ください。
詳しくはこちらから
Biacore™ Knowledge Center